中科院数学与系统科学研究院
数学研究所
学术报告会
报告人:Prof. A. Sankaranarayanan(Tata Institute, India)
题 目:On the Riesz means of certain arithmetical functions
时 间:08.27(星期三), 10:00--11:00
地 点:数学院南楼N226室
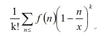
摘要:The results are joint works with my student Mr. Saurabh Kumar Singh. Let f(n) be a given arithmetical function having some nice properties. We are interested on the behaviour of the Riesz mean:

for every integer 